Le mot laser est l’acronyme de light amplification by stimulated emission of radiation, ce qui, dans la langue de Molière, peut se traduire par « amplification de la lumière par émission stimulée de rayonnement ».
Les lasers sont issus des travaux d’Arthur Schawlow et de Charles Townes pour lesquels ce dernier recevra le prix Nobel de physique en 1964. À l’origine, les deux chercheurs s’intéressent aux micro-ondes, mais c’est en utilisant leur théorie que Theodore Maiman conçoit, en mai 1960, dans un petit laboratoire privé de Malibu, le premier laser émettant dans le spectre visible, grâce à un cristal de rubis.
Si cette invention n’est pas immédiatement saluée par le monde scientifique (la prestigieuse revue Physical Review Letters, à laquelle Theodore Maiman a envoyé son compte rendu d’expérience, rejette l’article), on connaît aujourd’hui toute son importance dans des domaines aussi différents que l’industrie, la musique, la recherche et la médecine.
Principe du laser
Rappels physiques
Pour comprendre le fonctionnement d’un laser il faut se remémorer le modèle atomique de Bohr. Dans ce modèle, l’atome est représenté par un noyau autour duquel gravitent des électrons répartis par couches d’énergie croissantes (fig. 1).
![]()
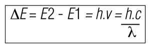
Lorsqu’un atome est excité (lorsqu’il a absorbé de l’énergie), des électrons « sautent » vers les couches d’énergie supérieure (fig. 2). Il s’agit d’un état instable qui ne peut perdurer, et spontanément les électrons retournent vers leur niveau énergétique initial en émettant un photon (fig. 3).
Cette émission est dite spontanée car elle se fait en dehors de toute stimulation externe. La fréquence du photon émis est définie par la différence entre les niveaux d’énergie E1 et E2 par la formule :
où λ est la longueur d’onde en mètre, v la fréquence en hertz, c la célérité…

